Лучшие задания Олимпиады школьников "Надежда энергетики" по физике
Лучшие задания за 2007 - 2010 годыНастоящий перечень представляет собой примеры задач по физике разного уровня сложности, которые, как показал опыт проведения олимпиад МЭИ (ТУ), позволяют наиболее эффективно определять наличие у школьников умений и навыков, необходимых для успешной учебы в техническом вузе. Обычно используются как вариации широко известных "классических" задач, так и оригинальные, родившиеся из опыта проведения олимпиад и преподавания в подразделениях довузовской подготовки МЭИ (ТУ).
Задачи типа 1, 2 выявляют способность учащихся грамотно аргументировать свои рассуждения, владение логикой, эрудицию.
Для решения задач типа 7, 9, 8 требуется использование всего одного, максимум двух, фундаментальных законов. Заметим, что поверхностное усвоение таковых, не приведет к успеху в решении. Требуются именно знание законов во всех тонкостях, доступных школьнику.
Пример задач, требующих от школьников немалой находчивости и сообразительности - задачи 4, 5, 8. Красивое решение и лаконичный ответ неизменно доставляет ребятам, решившим задачи, удовольствие.
Задачи типа 3 касаются разделов школьной программы, которым зачастую уделяется незаслуженно мало внимания, и, как правило, вызывают немалые трудности. Абитуриенты должны понимать, что все темы одинаково нужны и важны.Наконец, задачи типа 6 учитывают специфику вуза - организатора олимпиады. Они не только выявляют знания и способности учащихся, но и расширяют их эрудицию.
- Стальная проволока, подсоединенная к источнику ЭДС, под действием тока сильно нагревается. Если половину раскаленной проволоки опустить в дистиллированную воду, оставшаяся на воздухе часть нагревается еще сильнее. Объясните это явление.
- Из соображений безопасности воздушные шары и дирижабли часто наполняют гелием. При одинаковых условиях плотность гелия в два раза больше плотности водорода. Как Вы думаете, существенно ли снижает использование гелия вместо водорода подъемную силу? Ответ объясните.
- Во время работы в жаркую погоду инженеры-энергетики включили кондиционер. Скорость передачи тепла между помещением конструкторского бюро и улицей через окна и стены составляет K·(tу - tп), где K=11.8 кВт/град, tу - температура на улице, tп - температура в помещении. Кондиционер работает по циклу Карно так, что tу - температура нагревателя, а tп - температура холодильника. Какую мощность потребляет кондиционер из сети, если tу=27оС, а tп=22оС? На сколько возрастет потребляемая кондиционером мощность, если температура на улице увеличится на 5оС?
- В момент отправления поезда человек, бегущий в направлении головного вагона с постоянной скоростью, находится у конца последнего вагона. Считая, что поезд длиной l движется с ускорением а, определите минимальную скорость человека v0, при которой он успеет добежать до кабины машиниста.
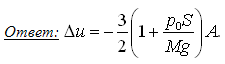
- На поверхности воды заданной плотности плавает цилиндрический тонкостенный стакан, наполовину погруженный в воду. На какую глубину нужно погрузить дно перевернутого стакана, чтобы он вместе с заключенным в нем воздухом пошел ко дну? Высота стакана h, атмосферное давление р0. Давлением водяного пара внутри стакана пренебречь.
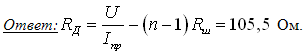
- В обозначениях ядерных реакторов типа ВВЭР используются числа, показывающие электрическую мощность реактора. Так, ректор ВВЭР-440 имеет электрическую мощность 440 МВт, коэффициент полезного действия составляет 32 %. Какое обозначение следует использовать для более мощного реактора, если его тепловая мощность увеличена в 2,2 раза, а к.п.д. на 1%?
Тонкая металлическая пластинка, заряженная зарядом Q = 1·10-7 Кл, равномерно распределенным по поверхности, находится в вертикально направленном электрическом поле, причем напряженность поля над пластинкой Е1 = 5·105 В/м, а под пластинкой Е2 = 2·105 В/м. Определите массу m пластинки, если она покоится в электрическом поле и в поле сил тяжести.- Две частицы, имеющие одинаковый заряд, движутся в однородном постоянном во времени электрическом поле. Массы частиц m1 и m2 = 2m1. В начальный момент времени скорости частиц взаимно перпендикулярны и равны, соответственно, v1=500 м/c и v2=300 м/c. Через некоторый промежуток времени скорость второй частицы изменилась на противоположную, равную по модулю первоначальной. Найдите, какой стала скорость первой частицы через тот же промежуток времени? Сила тяжести и силы сопротивления движению отсутствуют. Взаимодействием между частицами пренебрегите.
- В цилиндре под поршнем в объеме V1 и температуре T находятся насыщенные пары воды. Объем изотермически уменьшают до величины V2. Какой объем займет образовавшаяся вода, если отношение плотностей воды и пара при этой температуре равно n?
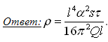
Точечный источник находится на главной оптической оси OO‘ линзы в точке А, его изображение находится в точке В. Когда источник поместили в точке В, его изображение оказалось точке С. Определите фокусное расстояние линзы, если АВ=2l, ВС=l.
Лучшие задания за 2010/2011 учебный год
Характер и уровень сложности олимпиадных задач по физике направлены на достижение целей, поставленных организаторами олимпиад. В первую очередь, это выявление в составе участников олимпиад способных учащихся, твердо владеющих школьной программой и наиболее подготовленных к успешному усвоению курсов, определенных образовательными стандартами для технических вузов. Будущие студенты должны обладать логическим мышлением, свободно оперировать физическими законами, научными формулировками и терминологией. От школьников требуется умение математически сформулировать описанную в задаче ситуацию на основе физических законов, при решении – применить наиболее подходящие методы алгебры. Совершенно необходимо и умение абстрагироваться от лишнего, рисовать удачные графические схемы, умело применять графики тех или иных процессов.
Структура типичного варианта олимпиады такова, что задачи строго дифференцированы по сложности и требуют для решения различных временных затрат. Задачи охватывают все разделы школьной программы и носят, в своем большинстве, комплексный характер, позволяющий варьировать оценки в зависимости от проявленных в решении творческих подходов и продемонстрированных технических навыков. Участники должны самостоятельно определить законы физики, применимые к каждой задаче, разбить задачу на подзадачи, грамотно выполнить решение каждой подзадачи и затем синтезировать решение всей задачи из решений отдельных подзадач.
Успешное написание олимпиадной работы не требует знаний, выходящих за пределы школьной программы, но, как показывает статистика олимпиады, доступно далеко не каждому школьнику, поскольку требует творческого подхода, логического мышления, умения увидеть и составить правильный и оптимальный план решения, четкого и технически грамотного выполнения каждой части решения, порой, отбора из множества математически верных решений подмножества решений, соответствующих физической реальности.
Умение справляться с заданиями олимпиады по физике приходит к участникам олимпиад с опытом, который вырабатывается на отборочном этапе олимпиады.
Все задачи снабжены ответами, а наиболее сложные из них – краткими решениями.













































